在骨再生领域,近年来研究焦点集中在通过3D打印技术制备具有理想孔隙率、形状和尺寸的个性化支架,这类支架能够有效促进组织再生进程。陶瓷支架因相比聚合物等其他材料更接近天然骨的原生结构,成为骨再生的主要选择。硅基材料凭借其成骨性能、生物活性以及促进细胞归巢和分化的能力,受到广泛研究关注。与磷酸钙等其他陶瓷材料相比,硅还具有释放硅离子带来的血管生成和成骨特性,且其介孔结构更易控制,可实现治疗分子的包封和释放。
然而,纯硅材料存在两大显著缺陷:脆性大且缺乏降解性。为解决这些问题,研究人员尝试将硅与有机化合物结合制备3D打印支架。此前已开发的多种3D可打印硅基复合材料,通过将硅融入熔融聚合物、可打印光聚合物或生物聚合物基质中,在一定程度上改善了降解性和脆性,但这些方法普遍存在局限性,如熔融温度导致药物包封受限、硅颗粒易造成挤出系统堵塞从而降低硅含量、光聚合物基质中颗粒团聚引发紫外散射、硅与基质间无化学键合以及聚合物基质降解过快等。
近期,具有无机和有机组分共网络结构的3D打印杂化墨水被认为是克服硅基复合材料缺陷的有效途径。这类硅杂化材料通常在温和温度下通过溶胶-凝胶反应制备,即硅前驱体先水解,再通过温度或pH值调节进行凝胶化。但目前通过该方法制备的硅基杂化材料所使用的聚合物缺乏对细胞黏附至关重要的RGD序列。因此,使用含RGD序列的明胶作为聚合物,有望增强骨再生效果。为实现明胶与硅网络的化学结合,3-缩水甘油氧基丙基三甲氧基硅烷(GPTMS)已被用作交联剂,与正硅酸乙酯(TEOS)作为主要硅前驱体配合使用。不过,此前相关研究的配方中明胶占比高于硅,这可能限制支架在骨再生应用中的生物活性。基于上述研究现状,本研究旨在开发一种硅含量高于聚合物的硅-明胶杂化墨水,以充分发挥硅的生物活性和血管生成特性。
1. 材料准备:实验所用试剂除特殊说明外均购自Sigma-Aldrich。主要材料包括正硅酸乙酯(TEOS)、盐酸(37% HCl)、3-缩水甘油氧基丙基三甲氧基硅烷(GPTMS)、明胶(A型,来自猪皮)等。
2. 墨水研发:
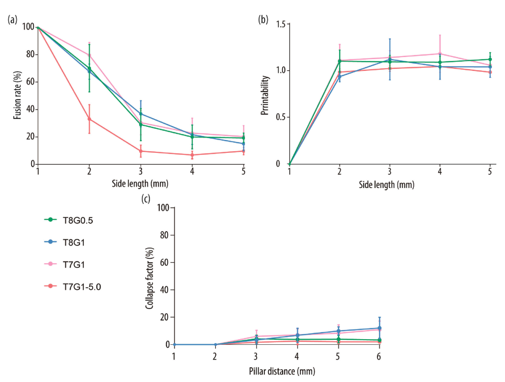
3. 形状保真度与收缩率测试:依据既定方案进行融合率(Dfr)、可打印性(Pr)和坍塌率(C)测试,并对比支柱宽度与理论值。使用Direct-Writing 3D打印机(Bio X, Cellink),打印速度4 mm/s,挤出速度2.50 µl/s,喷嘴直径0.58 mm。形状保真度测试做五组重复,支柱宽度测试做三组重复。
4. 支架3D打印:采用DIW直写生物3D打印机,使用选定墨水进行打印,参数为喷嘴0.58 mm、挤出速度250 µL/s、回缩体积25 µL、打印速度4 mm/s。打印后的支架密封在密闭容器中,室温下熟化7天以完成溶胶-凝胶反应,随后进行冷冻干燥。
5. 力学性能测试:使用机电测试机(Z5, Zwick)对15×15×10 mm³的支架进行单轴压缩试验。样品干燥后在37°C水中浸泡24小时,用千分尺测量尺寸,随后以1 mm/min的变形速度进行破坏测试,记录应力,评估弹性模量(E)、最大力和破坏应变。
6. 理化特性表征:
7. 体外磷灰石形成测试:采用模拟体液(SBF)浸泡法,将6×6×1.5 mm³的支架经紫外线灭菌后放入含15 mL SBF的容器中,三组重复。在3、7、14和21天后,取出支架清洗、风干并真空干燥24小时,通过扫描电子显微镜(SEM)和能量色散光谱(EDS)观察磷灰石形成及钙、磷元素存在情况。
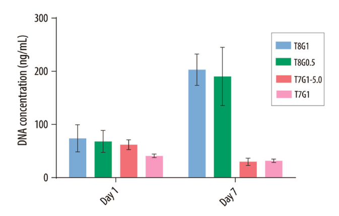
8. 体外细胞毒性测试:制备与支架类似的薄膜(200 µL墨水注入5 mm圆形模具),经70%乙醇灭菌5分钟和紫外线灭菌15分钟后,用无菌1%明胶在37°C振荡孵育以封闭未反应的GPTMS,随后用培养基浸泡过夜。将大鼠间充质干细胞(rMSCs)接种到薄膜上,在特定培养基和5% CO₂环境中培养,分别在1天和7天后通过dsDNA定量(Quant-iT™PicoGreen®, Invitrogen)评估细胞附着和增殖情况。
9. 体外3D增殖与免疫组织化学测试:使用12×12×2.5 mm³的支架,经灭菌和明胶处理后,接种150,000个细胞,加入500 µL培养基。在1、3和7天后裂解支架并定量细胞数。培养7天后,通过共聚焦显微镜观察细胞形态,采用鬼笔环肽(acti-Stain 488 phalloidin)和DAPI染色分别标记细胞骨架和细胞核。
10. 统计分析:先验证数据的正态分布和方差齐性,再采用参数检验(单因素方差分析,One-Way ANOVA)或非参数检验(Mann-Whitney U检验和Kruskal-Wallis检验)进行组间比较,p<0.05时认为差异具有统计学意义,所有分析使用MiniTab 17软件(Minitab Inc.)进行。
1. 墨水研发结果:在35°C下进行溶胶-凝胶反应以维持明胶液态,GPTMS浓度限制在硅前驱体的50%以内(考虑其潜在细胞毒性)。通过筛选不同配方,获得四种可打印墨水:T8G1、T8G0.5、T7G1和T7G1-5.0,其中前三者pH为4.5,T7G1-5.0 pH为5.0,TEOS:GPTMS比例在7:3–8:2之间,明胶与溶胶比例分别为1:1或0.5:1。
2. 形状保真度与收缩率:
3. 支架3D打印效果:所有打印支架呈白色半透明状,T7G1-5.0为均匀白色且不透明;T7G1-5.0的支柱均匀呈圆柱形,其他三种墨水的支柱长度方向宽度不均,呈锯齿状路径;SEM图像显示T7G1-5.0表面粗糙,其他三种表面较光滑且因支柱不均匀存在可见褶皱。
4. 力学性能:纯硅支架力学性能较低,应力-应变曲线呈锯齿状(压缩过程中存在微断裂);杂化墨水支架的脆性降低,所有杂化墨水的极限拉伸强度显著提高(p<0.05),明胶和GPTMS含量较高的墨水破坏应变更大(p<0.05)。T8系列配方应力较高,但仍保留锯齿状曲线;T7系列(尤其是T7G1-5.0)应力-应变曲线呈线性响应,弹性区域更大,塑性行为更显著,应力和变形能力显著提高,推测与更高的交联剂含量及pH 5.0更利于明胶交联有关。
| 条件 | 弹性模量(MPa) | 最大应力(MPa) | 破坏应变(%) |
|---|---|---|---|
| 纯硅 | 34.2 ± 11.0 | 0.09 ± 0.02 | 21.7 ± 6.6 |
| T8G1 | 44.0 ± 2.7 | 0.37 ± 0.09a | 37.9 ± 7.2 |
| T8G0.5 | 43.6 ± 5.9 | 0.26 ± 0.06a | 30.2 ± 6.3 |
| T7G1 | 46.2 ± 13.8 | 1.10 ± 0.36a | 46.6 ± 9.8a |
| T7G1-5.0 | 31.6 ± 10.0 | 0.73 ± 0.20a | 56.1 ± 8.4a |
| a与纯硅支架相比差异具有统计学意义(p<0.05) | |||
表3 支架力学性能总结:弹性模量(E)、最大力和破坏应变
5. 理化特性:
6. 体外磷灰石形成:纯硅支架和T8G1在SBF中浸泡7天后开始沉积磷灰石,其他三种杂化支架3天即开始沉积,7天几乎完全覆盖;EDS分析证实沉积物含钙和磷离子。较高明胶含量延迟磷灰石沉积,GPTMS可能对磷灰石形成有积极作用。
7. 体外细胞毒性:第1天所有配方的细胞数量相近(T7G1显著较低,p<0.05);第7天T8系列细胞数量增加,T7系列略有减少(推测与GPTMS的潜在细胞毒性有关,未完全中和的环氧基团可能影响细胞活力);组织培养塑料(TCP)对照组细胞增殖最佳。
8. 体外3D增殖与免疫组织化学:T8G1的初始细胞黏附显著高于纯硅支架(p<0.05),T8G0.5与纯硅无显著差异;第7天所有组细胞数量均显著增加,纯硅支架细胞数量翻倍,杂化支架增至三倍。免疫荧光图像显示杂化支架细胞覆盖率更高,细胞分布均匀且形态扁平、有多个细胞骨架延伸,表明细胞与支架结合牢固。
本研究通过溶胶-凝胶反应,以TEOS为硅前驱体、明胶为有机组分、GPTMS为交联剂,在温和温度和pH催化下,成功开发出四种硅-明胶杂化墨水(T8G1、T8G0.5、T7G1和T7G1-5.0)。所有墨水均具有良好的可打印性和形状保真度(低融合率、高桥接能力),且硅为主要相。
与纯硅支架相比,杂化支架在各方向收缩均匀,溶胀性、降解性和力学性能均得到改善:所有杂化支架的最大力均有所提高,变形能力(破坏应变)随GPTMS和明胶含量增加而增强。尽管明胶的加入曾被认为可能限制支架生物活性,但杂化支架的磷灰石沉积未受负面影响。
在生物响应方面,GPTMS含量较高的T7G1和T7G1-5.0因潜在的GPTMS相关毒性,无法支持细胞增殖;而T8G1和T8G0.5能有效促进细胞增殖,增强初始细胞黏附,7天后细胞数量较纯硅支架接近三倍。
总体而言,该硅-明胶杂化材料保留了硅的优势,同时通过改善理化性能、力学性能和生物性能,克服了纯硅材料的局限性。此外,温和的制备工艺使其有望整合生物活性分子,为未来骨再生应用开辟了新的可能性。
| 项目 | 详情 |
|---|---|
| 论文标题 | Self-setting silica-gelatin hybrid 3D printed scaffolds with tunable composition and enhanced physicochemical and biological properties(成分可调且理化及生物性能增强的自固化硅-明胶杂化3D打印支架) |
| 期刊 | Journal of Sol-Gel Science and Technology |
| DOI | https://doi.org/10.1007/s10971-025-07022-x |
| 发表时间 | 接收日期:2025年7月24日;录用日期:2025年12月2日;在线发表日期:2026年1月3日 |
| 作者 | Raquel Rodríguez-González1,2、Luis M. Delgado1,2,3、Román A. Pérez1,2 |
|
|
|
全面解析森工DIW墨水直写3D打印机在该类研究中功能匹配情况及需定制功能,帮助用户更好地选择合适的3D打印设备及功能模块。
四通道常温气动打印模块:
A. 配备精密的调压模块,调压精度±1KP;
B. 对每个通道实现独立精准控压;
C. 打印过程中可压力实时可调;
D. 四通道打印可实现不同打印路径规划;
E. 可将明胶杂化墨水(T8G1、T8G0.5、T7G1和T7G1-5.0)按照测试要求实现精准打印,制备成杂化支架。
由于小编学识所限,文中内容难免存在疏漏或不足之处。若您发现任何错误或值得商榷的观点,恳请不吝指正,
小编将第一时间修正完善。感谢您的包容与支持!
本文内容来源于网络公开素材,发布的目的在于学术交流、研讨分享,
如相关内容涉及侵权,请联系我们,将第一时间下架内容!

森工科技亮相第四届陶瓷增材制造前沿科学家论坛 罗建旭发表“高性能非金属材料挤出直写与粘接剂喷射工艺解决方案”主题报告

森工科技 AutoBio2000多通道食品3D打印机助力深圳大学化学与环境工程学院食品科学与工程系范方辉团队登顶食品工程 TOP 期刊

DIW直写3D打印机在陶瓷材料科研领域的应用及优势

深圳森工科技有限公司生物3D打印机在科研领域应用的核心优势

森工AutoBio1000DIW直写高分子材料3D打印机助力北京化工大学团队在《JACS》发表高水平论文

挤出式生物3D打印机——技术解析与场景应用指南