中文| EN

学术分享 I 基于直写式(DIW)3D打印的自固化二氧化硅 - 明胶杂化支架研究

发布时间:2026-03-24   浏览量:   分享到:

自固化二氧化硅-明胶杂化3D打印支架研究解读

一、研究背景

1. 纯二氧化硅材料的优势与缺陷

  • 优势:具备骨再生诱导性、生物活性、促血管生成与成骨作用,介孔结构可控,可包载药物
  • 缺陷:脆性大、降解性极差,难以满足骨修复的力学与降解匹配需求

2. 现有杂化材料的不足

  • 传统二氧化硅复合材料存在:药物包载受限、二氧化硅含量低、打印易堵头、无机-有机无化学键合、基体降解过快等问题
  • 已有的溶胶-凝胶杂化材料缺少RGD细胞黏附序列,细胞黏附与增殖效果差
  • 多数配方明胶占比高于二氧化硅,降低骨修复生物活性

3. 研究出发点

以TEOS为硅源、GPTMS为交联剂、明胶为有机相,制备二氧化硅为主相的杂化墨水,实现可打印、可调控、高生物活性的骨组织工程支架。

二、研究内容

1. 实验材料与方法

  • 硅源:正硅酸乙酯(TEOS);交联剂:3-环氧丙氧基丙基三甲氧基硅烷(GPTMS)
  • 有机相:A型猪皮明胶;溶胶-凝胶反应,温和温度(35℃)制备
  • 调控参数:TEOS/GPTMS比例、明胶/溶胶比例、pH值(4.5/5.0/5.5)
  • 打印设备:直写式(DIW)3D打印机;打印后熟化7天+冷冻干燥

2. 墨水配方筛选

固定水/TEOS摩尔比=8,筛选TEOS:GPTMS=5:5~9:1,明胶/溶胶=1:1/0.5:1,pH=4.5/5.0,最终得到4组可打印墨水:

  • T8G1:TEOS:GPTMS=8:2,明胶:溶胶=1:1,pH4.5
  • T8G0.5:TEOS:GPTMS=8:2,明胶:溶胶=0.5:1,pH4.5
  • T7G1:TEOS:GPTMS=7:3,明胶:溶胶=1:1,pH4.5
  • T7G1-5.0:TEOS:GPTMS=7:3,明胶:溶胶=1:1,pH5.0

图2 不同明胶pH、TEOS:GPTMS体积比下的可打印条件:(a)溶胶:明胶=1:1;(b)溶胶:明胶=1:0.5

3. 支架性能表征

  1. 打印精度与收缩:融合率、可打印性、塌陷率、支架收缩率、杆径尺寸
  2. 力学性能:弹性模量、最大应力、断裂应变(湿态37℃水浴24h)
  3. 理化性能:吸水率、体外降解(PBS 21天)、明胶释放动力学
  4. 生物活性:SBF模拟体液中磷灰石形成能力(SEM+EDS)
  5. 细胞相容性:大鼠间充质干细胞(rMSCs)黏附、增殖、活死染色与免疫荧光

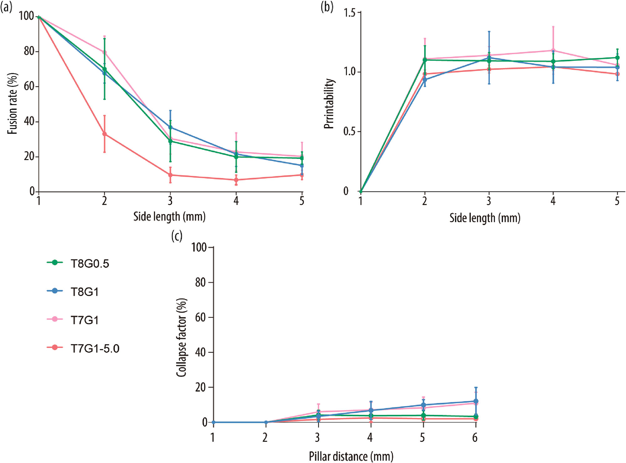
图3 杂化墨水形状保真度评价:(a)融合率;(b)可打印性;(c)塌陷因子

图4 15×15×3 mm³ 3D打印支架及其SEM表面形貌(T8G1、T8G0.5、T7G1、T7G1-5.0)

4. 关键测试数据

表1 组别编码汇总

组别 TEOS:GPTMS比例 明胶:溶胶比例 pH值
T8G1 8:2 1:1 4.5
T8G0.5 8:2 0.5:1 4.5
T7G1 7:3 1:1 4.5
T7G1-5.0 7:3 1:1 5.0

表2 收缩率与支架杆径

组别 X-Y平面收缩(%) Z-Y平面收缩(%) 杆径(mm)
T8G1 36.1±1.3 44.3±11.0 1.0±0.1
T8G0.5 39.5±1.7* 41.3±10.1 1.1±0.1
T7G1 34.1±2.1 36.0±10.6 1.0±0.1
T7G1-5.0 36.4±1.2 41.3±6.1 3.7±0.1*

* 与T8G1相比有统计学差异(p<0.05)

表3 力学性能汇总

组别 弹性模量(MPa) 最大应力(MPa) 断裂应变(%)
纯二氧化硅 34.2±11.0 0.09±0.02 21.7±6.6
T8G1 44.0±2.7 0.37±0.09ᵃ 37.9±7.2
T8G0.5 43.6±5.9 0.26±0.06ᵃ 30.2±6.3
T7G1 46.2±13.8 1.10±0.36ᵃ 46.6±9.8ᵃ
T7G1-5.0 31.6±10.0 0.73±0.20ᵃ 56.1±8.4ᵃ

ᵃ 与纯二氧化硅相比有统计学差异(p<0.05)

图5 3D打印支架理化特性分析:(a)湿态应力-应变曲线;(b)24h吸水率;(c)21天降解率;(d)明胶释放动力学

图6 体外磷灰石形成测试:(a)-(e)不同组别3/7天SEM图;(f)EDS钙磷元素确认

图7 杂化薄膜细胞毒性评价:第1天与第7天DNA定量

图8 3D支架细胞增殖:(a)DNA定量;(b)免疫荧光染色(鬼笔环肽绿色/DAPI蓝色)

三、研究结论

1. 墨水与打印性能

  • 成功制备4组可打印杂化墨水,二氧化硅为主相,打印精度高、塌陷率低
  • T7G1-5.0(pH5.0)打印精度最优,杆径更均匀,融合率更低
  • 杂化支架收缩率(35%~45%)显著低于纯二氧化硅(62%)

2. 理化与力学性能

  • 吸水率:杂化支架是纯二氧化硅的4~8倍,T7组吸水率最高
  • 降解性:纯二氧化硅21天仅降解2.5%,杂化支架降解4%~13.5%
  • 力学:明胶显著降低脆性,T7组塑性与形变能力最优

3. 生物活性

  • 磷灰石形成能力保留:T8G0.5、T7G1、T7G1-5.0在3天即出现磷灰石沉积
  • 细胞相容性:T8G1、T8G0.5无毒性,细胞黏附与增殖显著优于纯二氧化硅,7天细胞数提升约3倍
  • T7组因GPTMS残留环氧基具有一定细胞毒性

4. 应用价值

该二氧化硅-明胶杂化支架兼顾二氧化硅生物活性明胶的细胞亲和性、柔韧性、可降解性,温和制备工艺适合包载生物活性因子,在骨组织工程中具备极高应用潜力。

四、论文核心亮点

  • 首次实现二氧化硅为主相的二氧化硅-明胶杂化3D打印墨水
  • 通过pH、硅源/交联剂比例精准调控打印窗口与支架性能
  • 同时改善纯二氧化硅的脆性、降解差、细胞黏附弱三大缺陷
  • 保留生物活性,可定制化用于个性化骨修复

论文基础信息

期刊:Journal of Sol-Gel Science and Technology (2026) 117:3

DOI:https://doi.org/10.1007/s10971-025-07022-x

作者:Raquel Rodríguez-González, Luis M. Delgado, Román A. Pérez

核心关键词:二氧化硅、明胶、杂化材料、溶胶-凝胶、直写式(DIW)3D打印、骨组织工程、支架

直写式(DIW)3D打印机功能应用分析

全面解析森工DIW墨水直写3D打印机在该类研究中功能匹配情况及需定制功能,帮助用户更好地选择合适的3D打印设备及功能模块。

该研究中涉及的3D打印策略

1、森工可匹配模块:

多通道气动常温模块:使用常温打印头加载精准气压调节,气压重复精度±1KPa,保证打印的线条的均匀性、精度,提高实验效率;

在线混合模块:可以实时在线混合,实现指定比例混合材料,制备不同性能材料 。

2、需定制的模块:

冷冻干燥箱:利用真空冷冻干燥技术进行物质干燥。

小编对该类研究的拓展设想
1、拓展思路:

独立二级平台便于使用显微镜观察每一层的打印状态

2、涉及模块介绍:

独立二级平台:可打印范围200x150x30mm

由于小编学识所限,文中内容难免存在疏漏或不足之处。若您发现任何错误或值得商榷的观点,恳请不吝指正,

小编将第一时间修正完善。感谢您的包容与支持!

本文内容来源于网络公开素材,发布的目的在于学术交流、研讨分享,

如相关内容涉及侵权,请联系我们,将第一时间下架内容!

森工科技 AutoBio系列生物3D打印机

  • 1. 科研型定位,满足科研实验可视化参数需求;
  • 2. 材料支持范围广,兼容多学科多领域材料;
  • 3. 支持自调配材料,灵活适应科研实验要求;
  • 4. 少量材料即可打印测试,高效产出,节约实验成本;
  • 5. 支持多喷头多通道多材料多模式打印;
  • 6. 支持各种外场辅助功能拓展和定制。
AutoBio 3D打印机示意图
最新文章
优质文章推荐
阅读最多文章推荐



电话:0755-27370002 地址:深圳市宝安区福海街道新和社区新兴工业园三区一期12号(A4栋)601
公司主要销售:教育应用3d打印机_大尺寸FDM3D打印机_桌面级3d打印机_工业3d打印机_商业3d打印机和各种3d打印材料
亿鸽在线客服系统